反铁磁材料由于材料内部相邻的不同磁晶格的磁矩相互抵消对外不表现宏观磁性,这使反铁磁材料的操控、探测和应用都存在巨大的困难。1970年,因发现反铁磁材料获得诺贝尔物理学奖的Neel教授指出,反铁磁材料是十分有趣但无用的材料[Nobel Lectures, Physics 1963–1970 (1970)]。最近几年,随着相关新理论和新技术的发展,反铁磁材料具有的超高抗磁场干扰能力以及超快动力学等特点受到了广泛关注。但是,当前的科学研究普遍认为由于反铁磁材料内部近邻磁矩相互抵消,反铁磁材料中无法产生自旋极化的电流,成为反铁磁材料应用的瓶颈之一。
最近,东北大学材料学院张宪民教授研究组从打破反铁磁材料对称性考虑,提出在反铁磁材料的特定晶向施加偏压,进而打破反铁磁材料中磁性亚点阵晶格的对称性,诱导高效的自旋极化电流。该创新性理论工作以东北大学为第一单位发表在美国物理联合会期刊[Applied Physics Reviews.7, 031405 (2020),期刊影响因子 17.0],该工作被Editor选为Featured Article。同时,美国物理联合会(AIP)以科学亮点(Scilight)撰写了专题评论(链接//aip.scitation.org/doi/10.1063/10.0001675)。
该研究以(111) 晶向的NiO反铁磁材料作为传输层,以Au为电极构筑了Au/NiO(111)/Au结构的器件,如图1所示。研究发现,不同偏压下通过NiO(111)层的自旋向上和向下的电流曲线不重合,说明偏压打破了NiO磁性亚点阵的对称性并在反铁磁材料中激发出了自旋极化的电流。图1(e)表明偏压为0.9V时,自旋极化率高达80%,这一数值是传统铁磁金属(Fe、 Co和Ni)的三倍,显示了在未来电子自旋器件中具有巨大的潜在应用价值。

图1. (a) NiO的共线反铁磁结构,(b) NiO的态密度,(c) 设计的器件示意图,(d) 不同偏压下自旋向上和向下的电流,(e)总电流和自旋极化率的偏压关系。
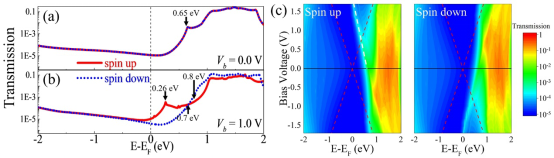
Au/NiO(111)/Au器件在0 V(图2a)和1V(图2b)偏压下的自旋电子透射谱,图2c为不同能量和偏压下的自旋电子透射图(红线交叉区域对应偏压窗口),显示出具有很宽的电压调控范围。

图2.0 V(a)和1V(b)偏压下的自旋电子透射谱,不同能量和偏压下的自旋电子透射图(c)。
非常有趣的是,随着偏压的升高,电流的自旋极化率可以从正值转化为负值,显示了丰富的科学奥秘。图3为k分辨的自旋电子态密度。图3 (a) 和 (b) 证实了0.9V附近正的高自旋极化率起源于NiO的表面态;图3 (c) 和 (d)证实了负的自旋极化率起源于高偏压下NiO的导带参与了电子的传输。

图3.k分辨的自旋电子态密度。能量为0.26 eV的界面处自旋向上(a)和自旋向下(b);能量为0.8 eV的中间层自旋向上(c)和自旋向下(d)。
研究工作最后系统分析了NiO层数和界面无序对自旋电流传输效率的影响,表明了该研究思路具有普适性。该工作申请了中国发明专利(CN202010459827.4),论文的第一作者为五楼自拍 博士研究生仝军伟,导师张宪民、秦高梧教授给予了系统指导,中国科学院苏州医工所周连群研究员和吉林大学田夫波教授等一起分析并讨论了研究结果。该工作受到了国家自然科学基金(Nos. 51971057, 51675517)和中央高校基本科研业务费(Nos. N180206003 and N2002023)的资助。

